差分卷积,提取一致性的细粒度信息
Code:虽然已经开源,但是issue提问精度难以复现
GitHub - ZitongYu/CDCN: Central Difference Convolutional Networks (CVPR’20)
-
常规卷积:
![[Pasted image 20240326173535.png]] -
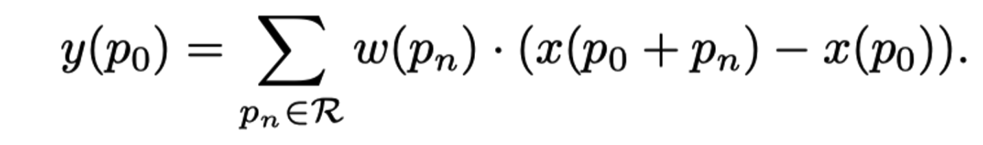
差分卷积

差分卷积,提取一致性的细粒度信息
Code:虽然已经开源,但是issue提问精度难以复现
GitHub - ZitongYu/CDCN: Central Difference Convolutional Networks (CVPR’20)
常规卷积:
![[Pasted image 20240326173535.png]]
差分卷积
